Digital Marketing & SEO

Google sues SerpApi over scraping and reselling Search ...

Google accused SerpApi of 'circumventing security measures protecting others’ co...

Microsoft launches asset-level ad reviews

Microsoft’s new asset-level editorial review lets compliant ad components run ev...

From SEO to GEO: How marketing leaders stay visible in ...

Here are four ways to evolve your SEO strategy and boost visibility in AI-powere...

Google vs. publishers: What the EU probe means for SEO,...

An antitrust case puts AI Overviews, opt-outs, and zero-click visibility under s...

How to use AI to diagnose and improve search intent ali...

AI can act as a second set of eyes for content, helping evaluate intent signals,...

Why SEO annual plans fall apart – and how to build one ...

Annual SEO planning still works when it’s built for reality. Learn how to set go...

Apple will add more App Store search ads

Apple will add more App Store search ads in 2026, expanding inventory while keep...

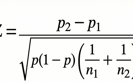
How Bayesian testing lets Google measure incrementality...

What’s often misunderstood about Google’s incrementality testing and how Bayesia...

AI Overview fan-out rankings boost citation odds by 161...

Analysis of 10,000 keywords shows pages ranking across Google AI Overview fan-ou...

Google explains JavaScript execution on non-200 HTTP st...

Google noted that if the HTTP status code is non-200 (for example, on error page...

Google adds location targeting controls to Demand Gen c...

Google added native location targeting controls to Demand Gen campaigns, giving ...

New AI Visibility Awards spotlight brands thriving in A...

Semrush’s new AI Visibility Awards reveal which brands are winning trust — and s...

Google adds animation and image editing tools to Mercha...

Google's latest update gives merchants new ways to quickly animate, clean up, an...

Google scraps unified pricing rules in Ad Manager after...

Google’s removal of unified pricing rules lets publishers set bidder-specific fl...

Google Search adds read more links to search result sni...

Not all, but many of the search result snippets contain read more links that tak...

LinkedIn opens up top-of-feed Reserved Ads to all manag...

LinkedIn Reserved Ads let marketers secure top-of-feed placement, boosting visib...